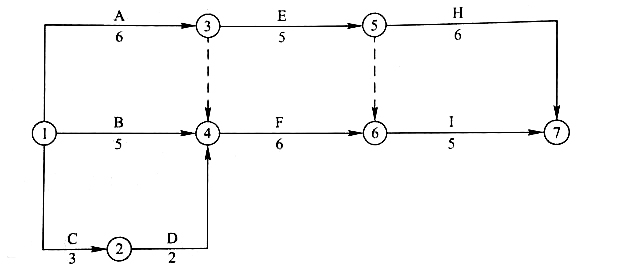
某工程双代号网络计划如下图所示(单位:d).则工作F的自由时差为()d。
0
1
2
3
本题考核的是双代号网络计划时间参数的计算。对于有紧后工作的工作,其自由时差等于本工作之紧后工作最早开始时间减本工作最早完成时间所得之差的最小值。计算工作F的自由时差要先求得工作I的最早开始时间及工作F的最早完成时间。工作F的最早开始时间为第6天,工作F的最早完成时间为6+6=12,即第12天。工作I的最早开始时间为6+6=12,即第12天,则工作F的自由时差=12-12=0。
分享到: