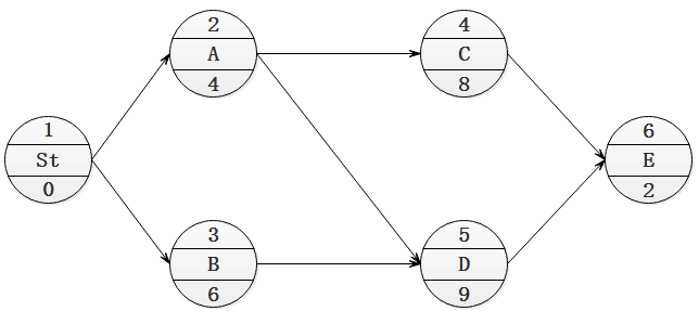
某单代号网络计划如下图,工作A、D之间的时间间隔是()天。
发布时间:2020年05月17日 11:20 中迅网校 阅读量:983

某单代号网络计划如下图,工作A、D之间的时间间隔是()天。

20171102114814118.png

  • A

    1

  • B

    2

  • C

    3

查看答案

分享到:

相关试题
重要提醒
检测到您的账号已在其他设备登录,
请重新登录
退出登录重新登录