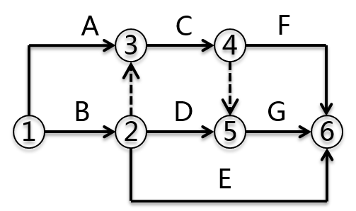
某双代号网络图如下图所示,正确的是()。
发布时间:2020年05月17日 14:51 中迅网校 阅读量:1180

某双代号网络图如下图所示,正确的是()。

微信图片_20200517145022.png

  • A

    工作C、D应同时完成

  • B

    工作B的紧后工作只有工作C、D

  • C

    工作C、D完成后即可进行工作G

  • D

    工作D完成后即可进行工作F

查看答案

分享到:

重要提醒
检测到您的账号已在其他设备登录,
请重新登录
退出登录重新登录