首页
购课
直播
题库
图书商城
企业团报
资讯
资讯
题库
课程
0
登录
/
注册
学习币:
余额:
我的服务
我的课程
我的题库
我的订单
我的资料
退出登录
二级建造师
招生简章
NEW
资讯
资料
APP下载
工程类
试验检测师&助理
二级建造师
监理工程师
一级建造师
安全工程师
当前位置 >
二级建造师
>
模拟试题
>
施工管理
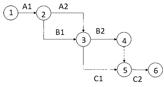
如下所示网络图中,存在的绘图错误是()。
发布时间:2020年05月24日 18:02
中迅网校
阅读量:1058
如下所示网络图中,存在的绘图错误是()。
A
节点编号错误
B
工作编号重复
C
存在多余节点
D
有多个终点节点
查看答案
参考答案:
B
参考解析:
9版教材P136
工作A2和B1共用同一对节点编号。
分享到:
上一题:工程施工职业健康安全管理工作包括:①确定职业健康安全目标;②识别并评价危险源及风险;③持续改进相关措施和绩效;④编制技术措施计划;⑤措施计划实施结果验证。正确的程序是()。
下一题:某建设工程项目的造价中人工费为3000万元,材料费为6000万元,施工机具使用费为1000万元,企业管理费为400万元,利润为800万元,规费为300万元,各项费用均不包含增值税可抵扣进项税额,增值税税率为9%。则增值税销项税额为()万元。
相关试题
更多...
根据九部委《标准施工招标文件》,工程接收证书颁发后产生的竣工清场费用应由()承担。
已有1355人浏览
针对生产安全事故,施工单位应急救援准备工作的正确做法有()。
已有266人浏览
下列工程费用中属于质量控制成本的是()。
已有251人浏览
采用时间-成本累积曲线法编制建设工程项目成本计划时,为了节约资金贷款利息,所有工作的时间宜按()确定。
已有1406人浏览
在施工项目部编制的责任矩阵图中,任务执行者在项目管理中的角色有()。
已有499人浏览
下列施工单位发生的各项费用支出中,可以计入施工直接成本的是()。
已有662人浏览
下列关于横道图的说法中,正确的是()。
已有260人浏览
根据《建设工程安全生产管理条例》,施工单位应对达到一定规模的危险性较大的分部分项工程编制专项施工方案,经施工单位技术负责人和()签字后实施。
已有1261人浏览
根据《建设工程项目管理规范》,项目经理的权限有()。
已有932人浏览
某工程双代号网络计划如下图所示,该网络计划存在()条关键线路。
已有517人浏览
热门资讯
· 2026二级建造师执业资格考试「报名时间」
· 2026年二级建造师执业资格考试「考试科目」
· 2026年二级建造师执业资格考试「题型题量」
· 2026年二级建造师执业资格「考试时间」
· 2026年二级建造师执业资格考试「准考证打印要求」
· 2026年二级建造师执业资格考试「准考证打印时间」
· 2026年二级建造师执业资格考试「准考证打印入口」
· 2026二级建造师执业资格考试「报名流程」
· 2026二级建造师执业资格考试「报考条件」
· 2026年二级建造师执业资格考试「查分入口」
微信服务号
微信扫码关注获取福利
热门新闻
考试资讯
报名通知
直播提醒
重要提醒
检测到您的账号已在其他设备登录,
请重新登录
退出登录
重新登录