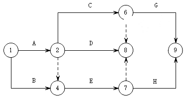
根据下表逻辑关系绘制的双代号网络图如下,存在的绘图错误是()。
发布时间:2020年05月24日 18:02 中迅网校 阅读量:1016

根据下表逻辑关系绘制的双代号网络图如下,存在的绘图错误是()。

  • A

    节点编号不对

  • B

    逻辑关系不对

  • C

    有多个终点节点

  • D

    有多个起点节点

查看答案

分享到:

重要提醒
检测到您的账号已在其他设备登录,
请重新登录
退出登录重新登录