首页
购课
直播
题库
图书商城
企业团报
资讯
资讯
题库
课程
0
登录
/
注册
学习币:
余额:
我的服务
我的课程
我的题库
我的订单
我的资料
退出登录
二级建造师
招生简章
NEW
资讯
资料
APP下载
工程类
试验检测师&助理
二级建造师
监理工程师
一级建造师
安全工程师
当前位置 >
二级建造师
>
模拟试题
>
施工管理
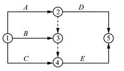
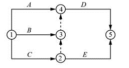
某工程有A、B、C、D、E五项工作,其逻辑关系为A、B、C完成后D开始,C完成后E才能开始。则据此绘制的双代号网络图是()。
发布时间:2020年07月08日 16:53
中迅网校
阅读量:1350
某工程有A、B、C、D、E五项工作,其逻辑关系为A、B、C完成后D开始,C完成后E才能开始。则据此绘制的双代号网络图是()。
A
B
C
D
查看答案
参考答案:
C
参考解析:
根据逻辑关系,正确的是C项。
分享到:
上一题:需要编制单位工程施工组织设计的工程项目是()。
下一题:某项目部针对现场脚手架拆除作业而制定的事故应急预案称为()。
相关试题
更多...
根据《建设工程安全生产管理条例》,工程监理单位发现安全事故隐患未及时要求施工单位整改,则建设行政主管部门一般采取的处罚是()。
已有992人浏览
【已根据新版教材调整】某建设工程项目设立了采购部、生产部、后勤保障部等部门,但在管理中采购部和生产部均可在职能范围内直接对后勤保障部下达工作指令,则该组织结构模式是()。
已有575人浏览
某施工承包合同采用单价合同,在签约时双方根据估算的工程量约定了一个合同总价。在实际结算时,合同总价与合同各项单价乘以实际完成工程量之和不一致,则价款结算应以()为准。
已有1138人浏览
施工成本分析可采用的基本方法有()。
已有508人浏览
【已根据新版教材调整】关于施工进度计划系统的说法,正确的是()。
已有669人浏览
关于从事危险化学品特种作业人员条件的说法,正确的有()。
已有1446人浏览
某单代号网络图如下图,关于各项工作间逻辑关系的说法,正确的是()。
已有1298人浏览
企业安全生产的第一责任人是()。
已有533人浏览
在最大成本加费用合同中,投标人所报的固定酬金中应包括的费用有()。
已有1354人浏览
施工质量事故发生后,负责向事故发生地政府建设行政主管部门报告的是()。
已有641人浏览
热门资讯
· 2026二级建造师执业资格考试「报名时间」
· 2026年二级建造师执业资格考试「考试科目」
· 2026年二级建造师执业资格考试「题型题量」
· 2026年二级建造师执业资格「考试时间」
· 2026年二级建造师执业资格考试「准考证打印要求」
· 2026年二级建造师执业资格考试「准考证打印时间」
· 2026年二级建造师执业资格考试「准考证打印入口」
· 2026二级建造师执业资格考试「报名流程」
· 2026二级建造师执业资格考试「报考条件」
· 2026年二级建造师执业资格考试「查分入口」
微信服务号
微信扫码关注获取福利
热门新闻
考试资讯
报名通知
直播提醒
重要提醒
检测到您的账号已在其他设备登录,
请重新登录
退出登录
重新登录