首页
购课
直播
题库
图书商城
企业团报
资讯
资讯
题库
课程
0
登录
/
注册
学习币:
余额:
我的服务
我的课程
我的题库
我的订单
我的资料
退出登录
二级建造师
招生简章
NEW
资讯
资料
APP下载
工程类
试验检测师&助理
二级建造师
监理工程师
一级建造师
安全工程师
当前位置 >
二级建造师
>
模拟试题
>
施工管理
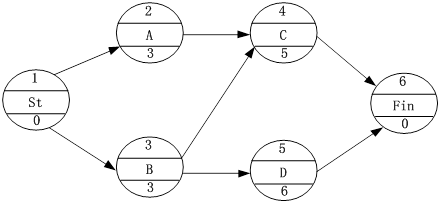
单代号网络计划如下图所示(时间单位:天),其关键线路有()条。
发布时间:2020年05月26日 11:13
中迅网校
阅读量:1297
单代号网络计划如下图所示(时间单位:天),其关键线路有()条。
A
2
B
1
C
3
D
4
查看答案
参考答案:
B
参考解析:
分享到:
上一题:根据《标准施工招标文件》,下列不属于工程变更范围的是()。
下一题:关于建设工程项目管理进度计划系统的说法,正确的是()。
相关试题
更多...
关于建设工程项目进度计划系统的说法,正确的是()。
已有612人浏览
根据我国保险制度,工程一切险通常由()办理。
已有602人浏览
【已根据新版教材调整】下列属于以分部(分项)或专项工程为主要对象编制的施工技术与组织方案是()。
已有453人浏览
根据《建设工程工程量清单计价规范》,工程发包时招标人压缩的工期不得超过定额工期的(),否则应在招标文件中明示增加赶工费。
已有617人浏览
【已根据新版教材调整】某工作项目由两个性质相同的分项工程合并而成,各分项工程的时间定额和工程量分别是:H1=0.25工日/m3,H2=0.45工日/m3;Q1=5000m3,Q2=2000m3。编制施工进度计划时,该工作项目的综合时间定额是()工日/m3。
已有614人浏览
根据《建设工程施工劳务分包合同(示范文本)》(GF-2003-0214),关于保险的说法,正确的是()。
已有1397人浏览
工程质量监督机构收到工程质量监督申报资料后,对于经审核符合要求的,应办理工程质量监督登记手续,并向()签发工程质量监督文件。
已有486人浏览
《标准施工招标文件》通用合同条约中的“基准日期”指的是()。
已有444人浏览
根据《建筑安装工程费用项目组成》(建标[2003]206号),病假在六个月以内的生产工人的工资属于()。
已有1333人浏览
施工定额的研究对象是同一性质的施工过程,这里的施工过程是指()。
已有1219人浏览
热门资讯
· 2026二级建造师执业资格考试「报名时间」
· 2026年二级建造师执业资格考试「考试科目」
· 2026年二级建造师执业资格考试「题型题量」
· 2026年二级建造师执业资格「考试时间」
· 2026年二级建造师执业资格考试「准考证打印要求」
· 2026年二级建造师执业资格考试「准考证打印时间」
· 2026年二级建造师执业资格考试「准考证打印入口」
· 2026二级建造师执业资格考试「报名流程」
· 2026二级建造师执业资格考试「报考条件」
· 2026年二级建造师执业资格考试「查分入口」
微信服务号
微信扫码关注获取福利
热门新闻
考试资讯
报名通知
直播提醒
重要提醒
检测到您的账号已在其他设备登录,
请重新登录
退出登录
重新登录