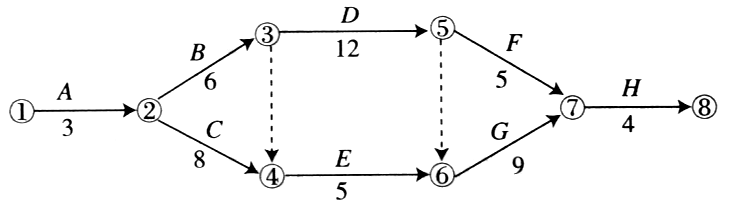
某市政工程网络计划如下图,其关键线路是()。
发布时间:2020年05月24日 18:18 中迅网校 阅读量:998

某市政工程网络计划如下图,其关键线路是()。

  • A

    ①—②—③—⑤—⑦—⑧

  • B

    ①—②—③—④—⑥—⑦—⑧

  • C

    ①—②—③—⑤—⑥—⑦—⑧

  • D

    ①—②—④—⑥—⑦—⑧

查看答案

分享到:

相关试题
重要提醒
检测到您的账号已在其他设备登录,
请重新登录
退出登录重新登录